18900653397
massiso@qq.com
您当前的位置:

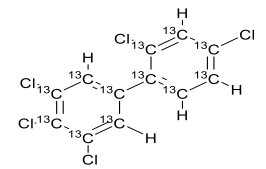
2',3,4,4',5-五氯联苯-13C12

2',3,4,4',5-Pentachlorobiphenyl - 13C12
208263-64-3
13C12H5Cl5
338.33
98%+
产品号/Catalog# PT71014C12
产品名称: 2',3,4,4',5-五氯联苯-13C12
英文名称: 2',3,4,4',5-Pentachlorobiphenyl - 13C12
CAS#: 208263-64-3 分子量/MW: 338.33
Unlabeled CAS#: 65510-44-3
产品详情: -
MDL#: - 颜色/Color: -
分子式/Formula: 13C12H5Cl5 浓度/Concentration: -
形态/Form: - 沸点/bp (°C): -
纯度/Purity (%): 98%+ 比重/Density(g/ml): -
熔点/mp (°C): - 运输条件/Transportation: -
闪点/fp (°C): - 储藏条件/Storage: -
中文同义名:
Synonyms: -
附加信息
Additional Information:
-
还未有相关产品质量规格书!
Search quality inspection report(COA)
Search MSDS