18900653397
massiso@qq.com
您当前的位置:

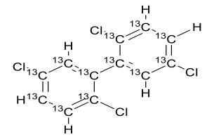
2,2',5,5'-四氯联苯-13C12

2,2',5,5'- Tetrachlorobiphenyl - 13C12
208263-80-3
13C12H6Cl4
303.89
98%+
产品号/Catalog# PT71007C12
产品名称: 2,2',5,5'-四氯联苯-13C12
英文名称: 2,2',5,5'- Tetrachlorobiphenyl - 13C12
CAS#: 208263-80-3 分子量/MW: 303.89
Unlabeled CAS#: 35693-99-3
产品详情: -
MDL#: - 颜色/Color: -
分子式/Formula: 13C12H6Cl4 浓度/Concentration: -
形态/Form: - 沸点/bp (°C): -
纯度/Purity (%): 98%+ 比重/Density(g/ml): -
熔点/mp (°C): - 运输条件/Transportation: -
闪点/fp (°C): - 储藏条件/Storage: -
中文同义名:
Synonyms: -
附加信息
Additional Information:
-
还未有相关产品质量规格书!
Search quality inspection report(COA)
Search MSDS