18900653397
massiso@qq.com

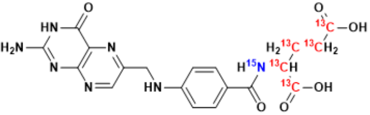
叶酸-13C5,15N

Folic Acid-13C5,15N
13C5C14H1915NN606
447.36
98+%
98+%
产品号/Catalog# PT32175
产品名称: 叶酸-13C5,15N
英文名称: Folic Acid-13C5,15N
CAS#: 59-30-3(unlabelled) 分子量/MW: 447.36
Unlabeled CAS#:
产品详情:

中文名称:叶酸-13C5,15N
CAS号:59-30-3(unlabelled)
中文别名:维生素B9-13C5,15N
英文名称:Folic acid-13C5,15N
英文别名:
EINECS:
分子式:13CC18H19N7O6
分子量:442.40

MDL#: NA 颜色/Color: NA
分子式/Formula: 13C5C14H1915NN606 浓度/Concentration: NA
形态/Form: NA 沸点/bp (°C): NA
纯度/Purity (%): 98+% 比重/Density(g/ml): NA
熔点/mp (°C): NA 运输条件/Transportation: NA
闪点/fp (°C): NA 储藏条件/Storage: NA
中文同义名: 维生素B9-13C1
Synonyms: NA
附加信息
Additional Information:
NA
还未有相关产品质量规格书!
Search quality inspection report(COA)
Search MSDS